首页
部门职责
就业动态
通知公告
就业政策
就业指导
招聘信息
职业规划
现场招聘
校聘云
就业桥
毕业生信息网
首页
部门职责
就业动态
通知公告
就业政策
就业指导
招聘信息
职业规划
现场招聘
校聘云
就业桥
毕业生信息网
最新动态
当前位置:
首页
>>
就业网
>>
最新动态
>>
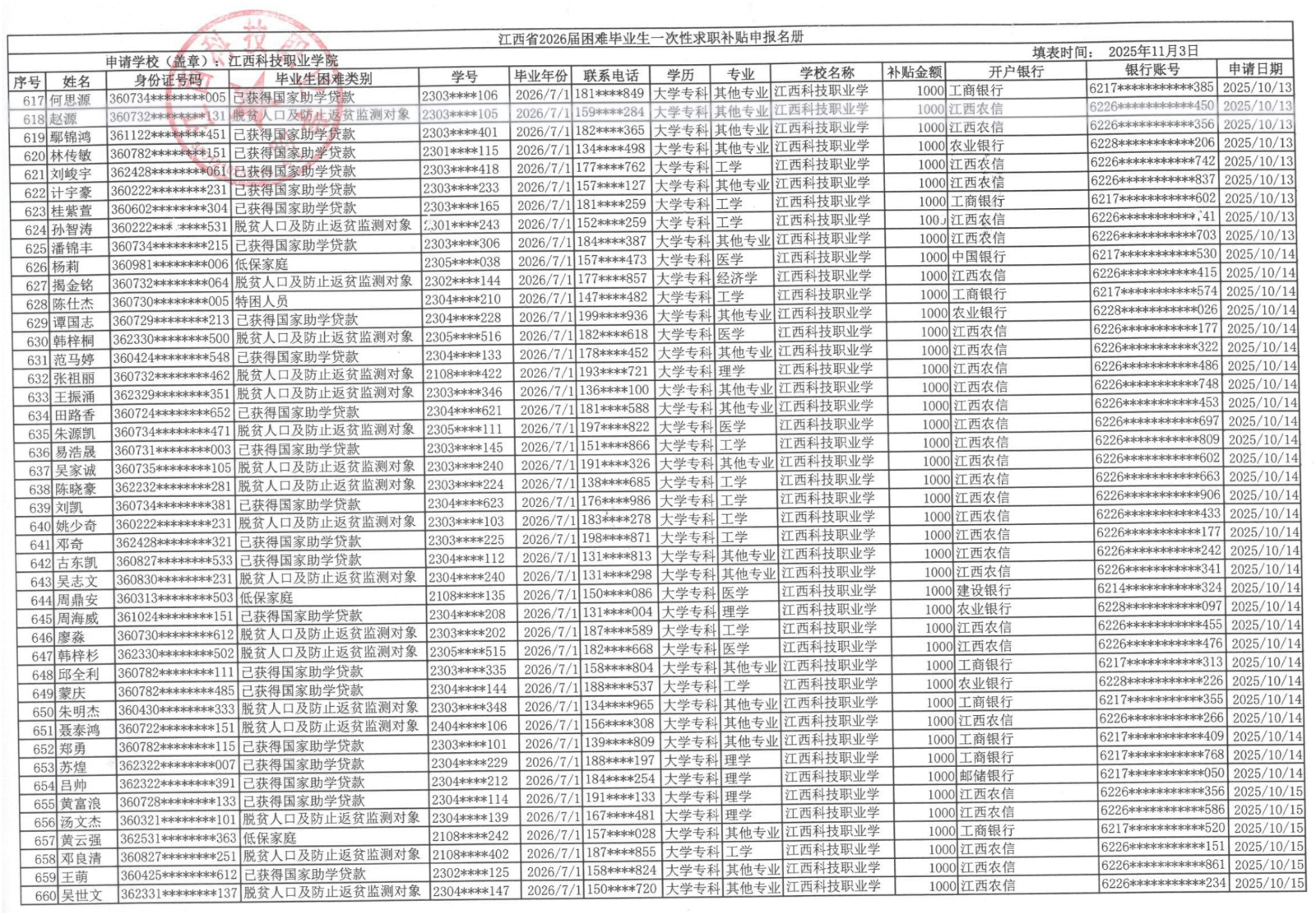
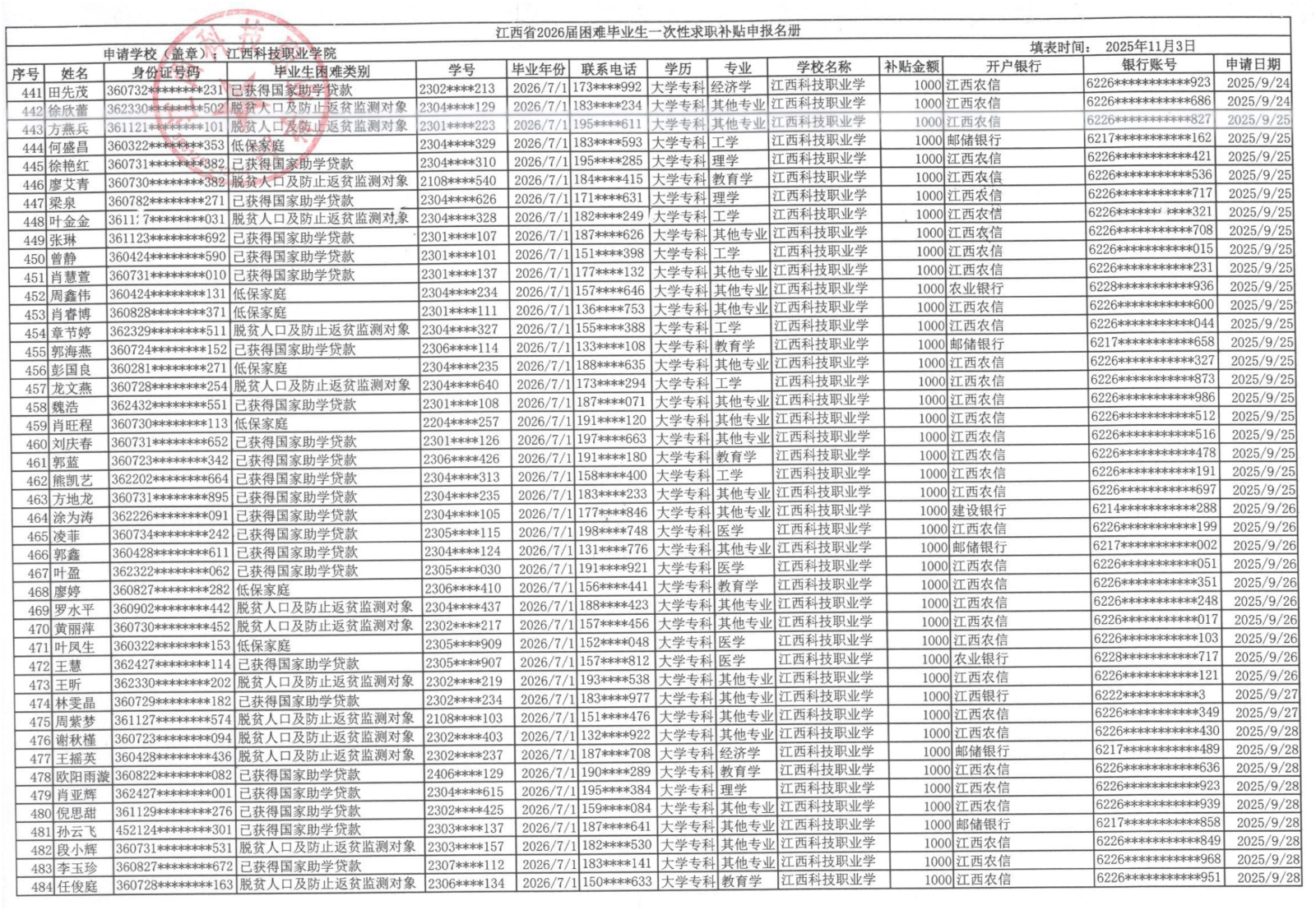
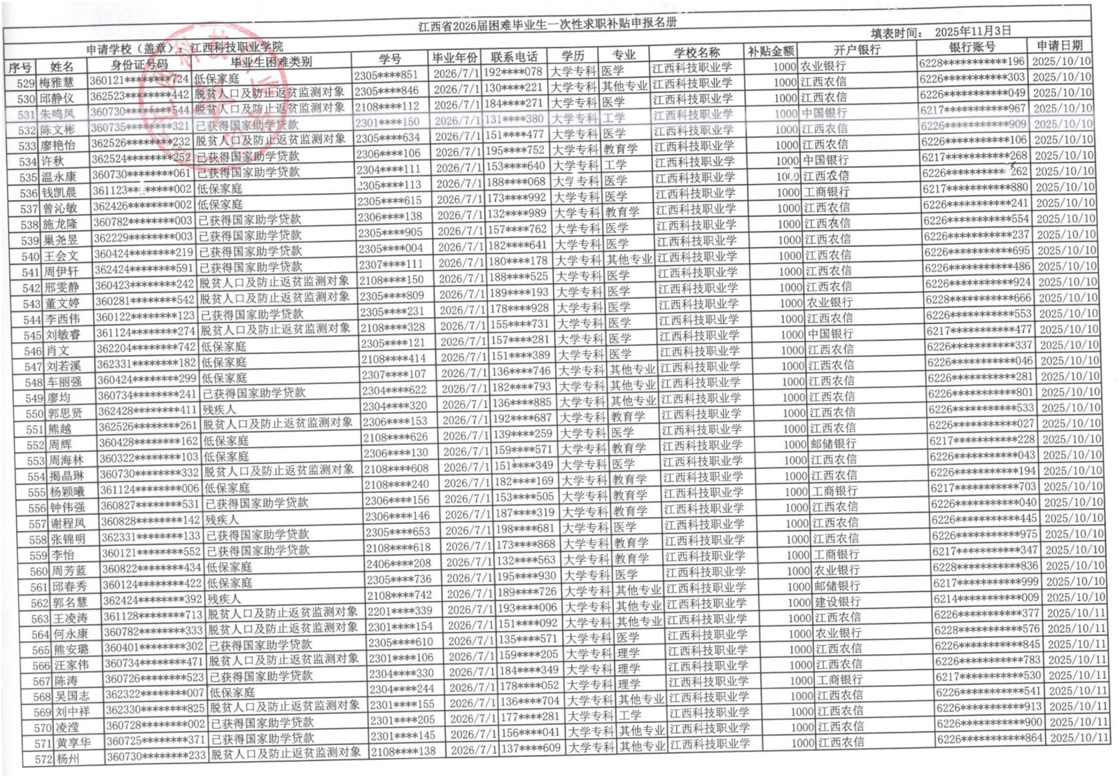
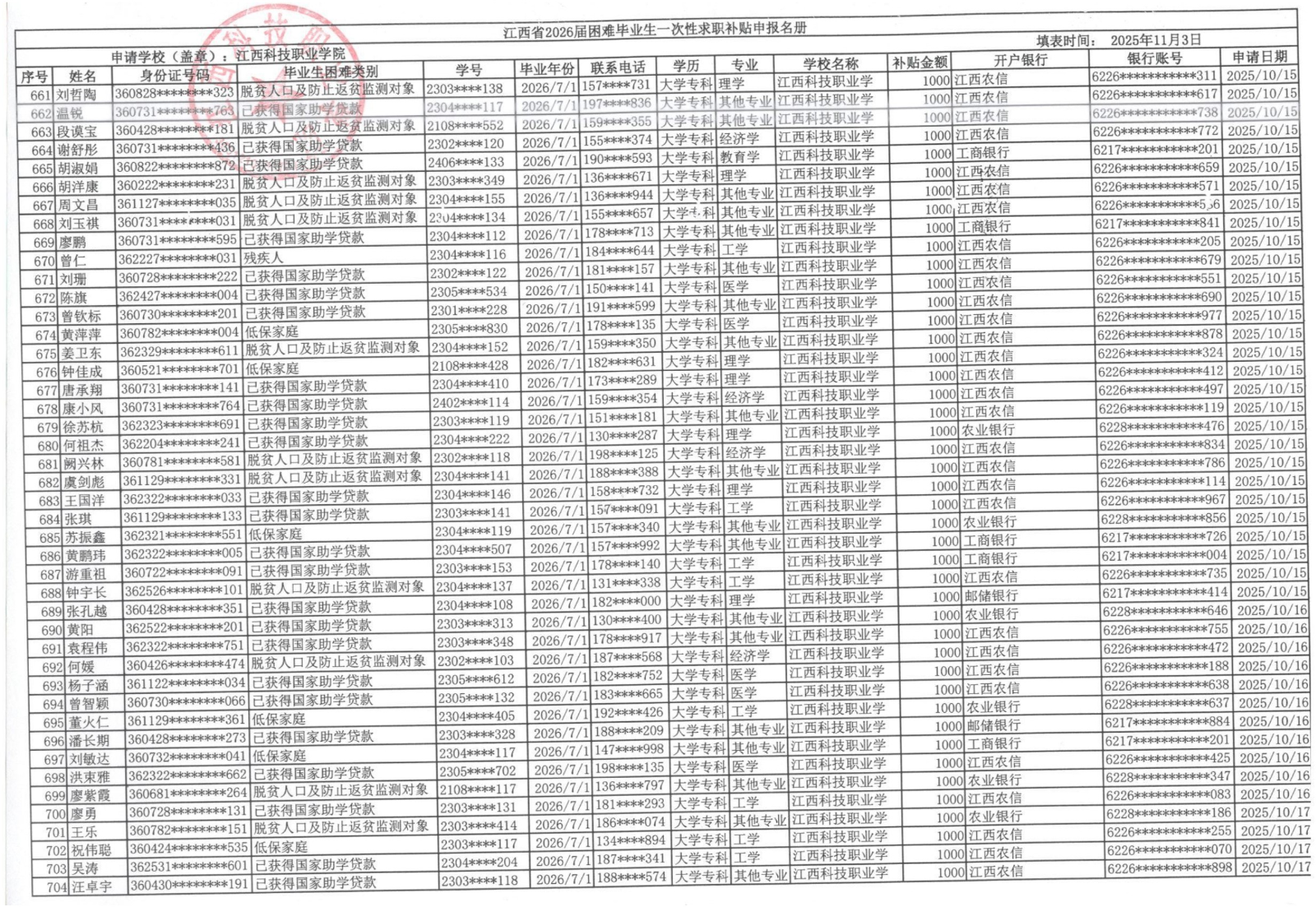
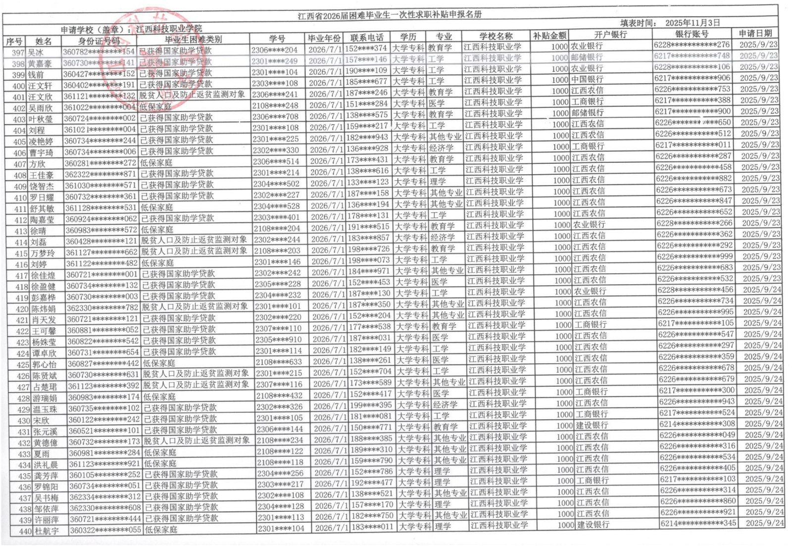
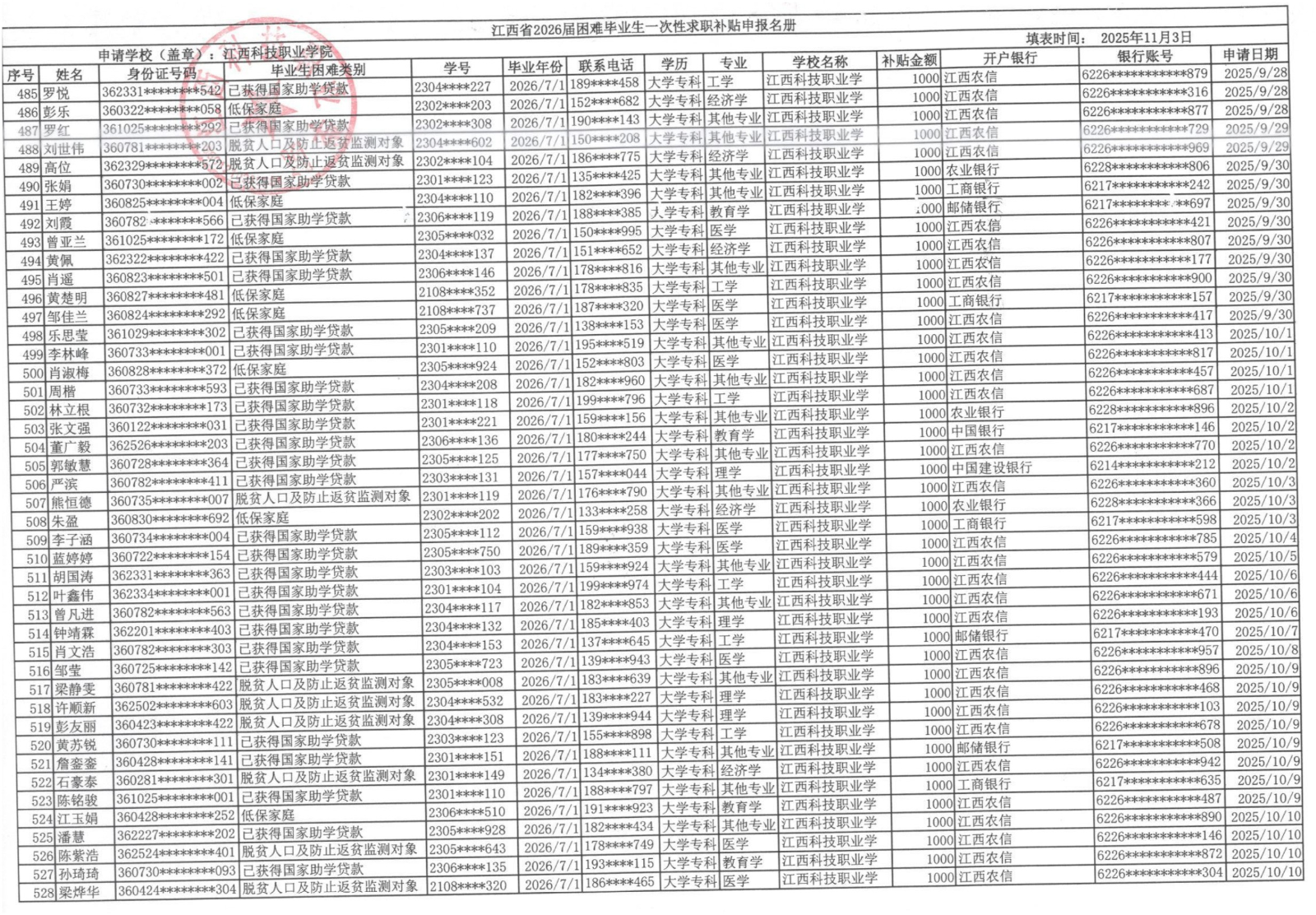
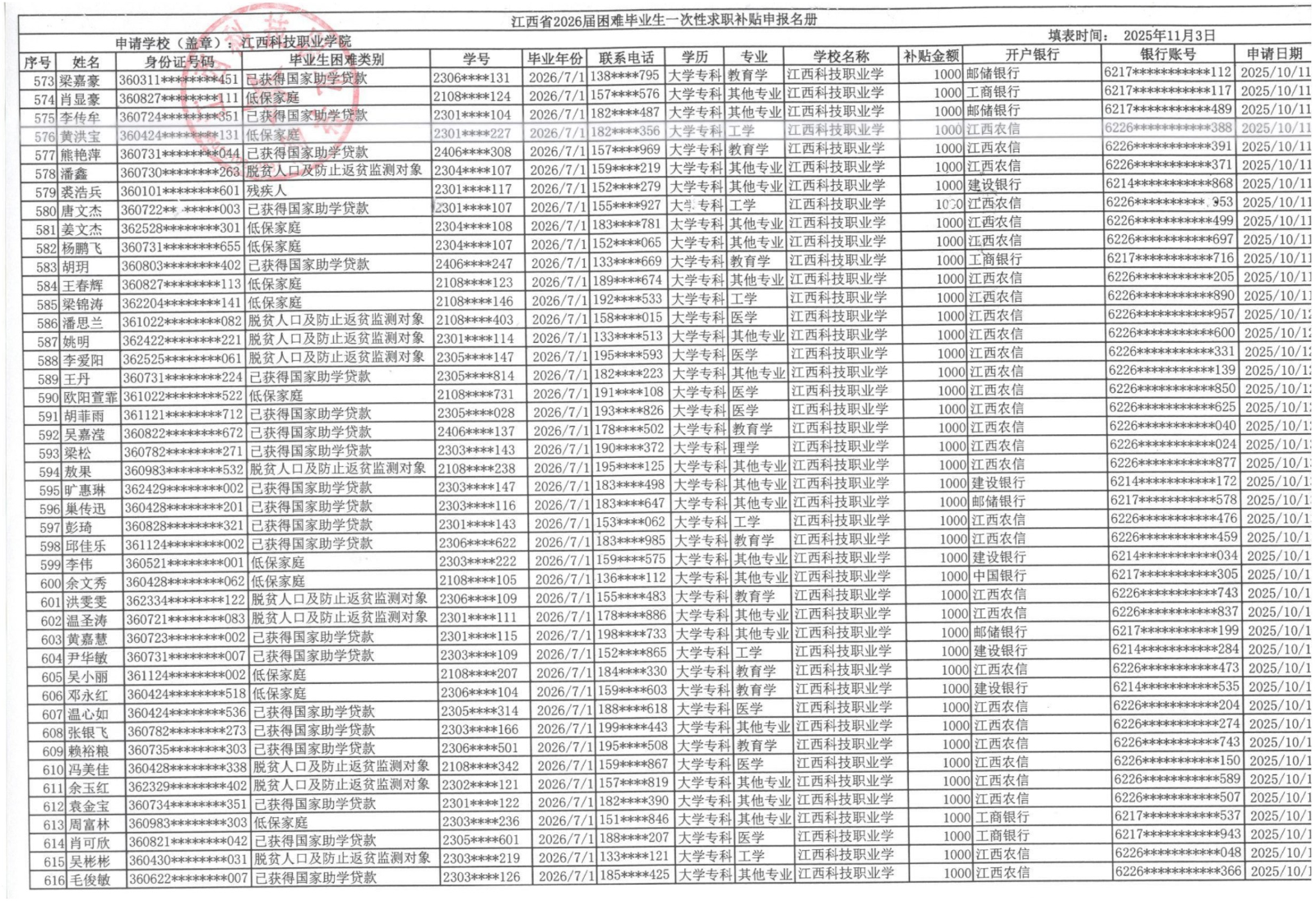
关于2026届毕业生一次性求职补贴公示
发布人:admin
发布日期:2025-11-04 10:27
点击次数:
周一到周五
09:00-17:30
微信咨询
在线咨询
招生热线
0791-85160008
0791-85160018
回到顶部